Nacional, Politica PERIODISTAS: Publican decreto sobre la libertad de expresión de los funcionarios 2 min de lectura
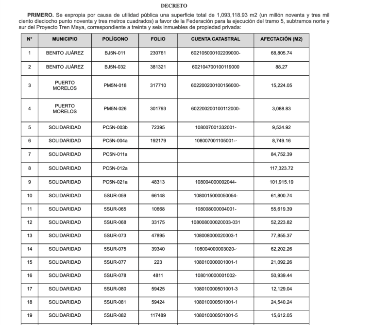
Nacional Tren Maya: expropian 36 terrenos por más de un millón de metros cuadrados para construir el tramo 5 2 min de lectura
Nacional ACUERDO: se consideran días inhábiles la Secretaría de Salud, sus unidades administrativas y órganos administrativos desconcentrados 1 min de lectura
Economía Ya es oficial: Reforma a la Ley de Hidrocarburos es publicada en el DOF y gasolineros piden precisiones 3 min de lectura